Contoh Surat Perjanjian Pajakan Tanah Syarikat Hartanah Berlesen

Hak milik 829, padang limau, mukim rantau panjang, kota kuala. Contoh surat perjanjian lebih banyak. Bahwa kedua pihak sepakat mengadakan perjanjian sewa tanah sawah dengan ketentuan sebagai berikut. Saya merupakan pengarah bagi syarikat logistik 'last mile'delivery.

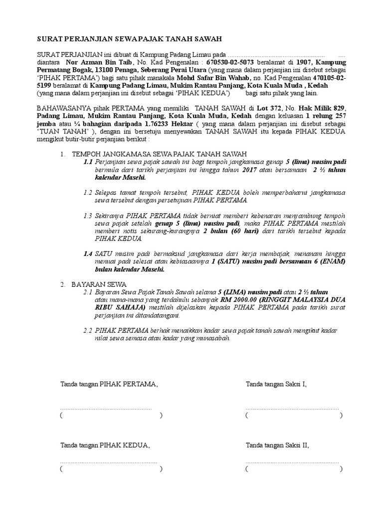
Surat Perjanjian Sewa Pajak Tanah Sawah 2016 | Pdf
Surat Perjanjian Sewa Pajak Tanah Sawah 2016 | Pdf

2021/09/15 · pegangan pajakan (leasehold) hartanah atau tanah pegangan pajakan mempunyai tempoh pegangan 30, 60, 90 sehingga maksimum 999 tahun. Contoh surat perjanjian sewa menyewa tanah di malaysia contoh surat. Format surat perjanjian sewa tanah. Ketika dua orang atau 2 instansi melakukan kesepakatan biasanya diperlukan suatu jaminan untuk kepastian. Di dalam surat perjanjian jual beli tanah, ada dua belah pihak yaitu penjual sebagai pihak pertama dan pembeli sebagai pihak kedua. Sepanjang tempoh pajakan ini tuan punya tanah / pewaris tidak.

Contoh Surat Perjanjian Pajakan Tanah Syarikat Hartanah Berlesen. Sekiranya anda menyebut lebih daripada satu kejadian, bahagikannya kepada 2 perenggan berbeza dan akhiri perenggan dengan kualiti yang perlu diserlahkan dengan setiap contoh. Jika anda pernah diminta untuk menulis surat rujukan watak, anda tahu kebimbangan yang boleh dibuat oleh permintaan itu. Pemikiran pertama ialah biasanya "bagaimana dalam dunia anda menulis satu?" Dan pemikiran ini dengan cepat diikuti oleh soalan seperti "apa yang perlu dilakukan Saya katakan?" Dan "Bagaimana jika saya mengatakan sesuatu yang salah dan membuat orang itu kelihatan buruk?"

Ketakutan dan soalan yang tidak dijawab boleh menjadi sangat merisaukan . Anda tidak perlu risau jika anda mengenali orang yang anda tulis tentangnya.

Mulakan dengan surat

LANGKAH 1: Tarikh & Alamat

Orang yang membaca surat anda akan ingin mengesahkan bahawa rujukan itu adalah terkini. Sertakan juga alamat penuh anda

LANGKAH 2: Salam

Mulakan dengan salam. Jika anda tahu nama penuh orang yang ditujukan surat itu, gunakannya. Profesionalisme dan kredibiliti surat anda akan dipertingkatkan dengan menggunakan nama pertama dan nama keluarga mereka.

Jika anda tidak tahu alamat orang yang dialamatkan, atau tidak pasti sama ada mereka adalah orang yang betul untuk menghantar surat itu, gunakan "Kepada Siapa Yang Membimbangkan". Walau bagaimanapun, jika anda tahu tajuk orang yang dituju, anda boleh menulis, sebagai contoh, "Pengarah Sumber Manusia yang dihormati" untuk memperibadikan surat itu sedikit lagi.

Elakkan menggunakan "Tuan atau Puan" serta Cik, Puan, Cik, atau Encik

Pertimbangkan betapa boleh dipercayai surat anda jika ia ditulis kepada "Mrs. Sydney Smith", hanya untuk mengetahui bahawa "Sydney Smith ialah seorang wanita?" !

LANGKAH 3: Pembukaan

Perenggan pembukaan biasanya perenggan dengan satu atau dua ayat. Perenggan pembukaan harus menerangkan siapa anda, perkara yang anda ketahui tentang orang yang dirujuk dan cara mereka boleh mendapat manfaat daripada pengetahuan anda.

LANGKAH 4: Badan

Isi ialah bahagian terpenting surat. Anda boleh mempunyai beberapa perenggan. Anda boleh menggunakan bahagian ini untuk membuat kes anda untuk orang yang anda rujuk

Sebaik-baiknya anda membina huruf itu sekitar 1 hingga 3 daripada kualiti terbaik orang itu. Kualiti ini harus dikaitkan.

Sebagai contoh, katakan orang yang anda tulis itu mesra, jujur, bijak, kreatif, bertanggungjawab dan rajin. Katakan mereka sedang mencari kerja penyeliaan. Seorang penyelia harus, antara sifat-sifat lain, bersikap mesra (boleh bergaul dengan orang lain), jujur ​​dan bertanggungjawab. Jadi, adalah lebih baik untuk membina surat anda berdasarkan sifat-sifat ini.

Contoh-contoh ini hendaklah ringkas dan jelas, supaya pembaca dapat memahami tahan dengan mudah. Seperenggan tidak boleh melebihi 3 ayat setiap kualiti.

Dua nasihat yang sangat kuat: Apabila menulis surat rujukan watak, jangan berlebihan berkongsi kualiti positif orang itu dan jujurlah.

Adalah penting untuk memahami maksud sesuatu. Orang yang akan membaca surat anda sudah menganggap bahawa penulis surat sedang "memperbesar" orang yang mereka rujuk. Untuk membuat surat anda lebih boleh dipercayai, buktikan bahawa anda mempunyai pendapat yang tinggi tentang orang itu. Ini boleh dilakukan dengan menerangkan fakta khusus tentang orang yang anda rujuk. sedang merujuk.

Bercerita yang boleh dipercayai, cerita pendek tentang orang yang anda kenali adalah cara yang bagus untuk mengekalkan kredibiliti tanpa terdengar melambung. Dalam melakukan ini, pengalaman harus menggambarkan kualiti positif seseorang. Ini pengalaman harus menunjukkan bagaimana orang itu berkelakuan.

Jika anda merujuk kepada lebih daripada satu kejadian dalam perenggan anda, bahagikannya kepada dua perenggan dan akhiri setiap perenggan dengan kualiti yang anda ingin serlahkan dengan setiap kejadian.

LANGKAH5: Penutup

Penutup ialah bahagian akhir pengesyoran anda dan tidak perlu panjang. Ia meringkaskan dan mengukuhkan kepercayaan anda tentang orang yang anda rujuk dan menerangkan sebab anda rasa mereka memenuhi kelayakan tersebut.

Di sinilah anda boleh mengatakan sesuatu tentang diri anda dengan menyebut kredibiliti anda tentang apa yang melayakkan anda membuat penilaian terhadap keupayaan orang itu melalui jenis dan tempoh hubungan anda dengan mereka.

LANGKAH 6: The Valediction

Surat anda hendaklah ditutup dengan ucapan penutupan atau penutupan percuma seperti "Ikhlas".

Tinggalkan tiga ruang dan taip nama anda. Jika ia berguna kepada penerima surat, sertakan tajuk anda.

Tandatangan surat itu.

Pada nota sampingan, sertakan maklumat hubungan supaya orang yang menyemak surat anda boleh menggunakan sekiranya maklumat lanjut diperlukan. Tetapi, menambah maklumat ini kadangkala boleh menjadi panggilan penghakiman.

Trending Now..

Popular Posts

Contoh Surat Permohonan Pemeriksaan Bomba

Contoh Surat Kiriman Rasmi Permohonan Pembatalan Tiket Kereta

Contoh Surat Rasmi Format

Contoh Surat Rayuan Pertukaran Penempatan Hospital

Contoh Surat Ke Majlis Pelantikan Kekanda

Bahan Tarian Singa Buku Teks Muka Surat

Contoh Surat Permohonan Data Untuk Final Year Project

Contoh Surat Minta Projek Kerajann

Surat Rasmi Tidak Datang Ke Sekolah

Contoh Surat Kelulusan Perancangan Kerja Oleh Kontraktor